Search substance
Please enter substance to start the search
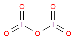
Chất Hóa Học - I2O5 - Diiodine pentoxide
View detailed information about the chemical substance I2O5 (Diiodine pentoxide)
Introduce
Substance I2O5 (Diiodine pentoxide)
Detailed information on the chemical I2O5
Tính chất vật lý
- Atomic weight: 333.8059
- Density of solid (kg/m3): updating
- Boiling point (°C): updating
- Color: updating
Tính chất hoá học
- Electron egativity: updating
- First ionisation energy: updating
Applications of in practice I2O5
Image of in practice I2O5
Other images of I2O5
Total rating:
Rating: / 5 star
The equations for preparation I2O5
Catalyst
normal
Temperature
normal
Pressure
normal
Other conditions
normal
Catalyst
normal
Temperature
150 - 175
Pressure
normal
Other conditions
normal
Catalyst
normal
Temperature
240 - 250
Pressure
normal
Other conditions
normal
Equations that have I2O5 participate in a reaction
Catalyst
normal
Temperature
normal
Pressure
normal
Other conditions
normal
Catalyst
normal
Temperature
room temperature
Pressure
normal
Other conditions
normal
Catalyst
normal
Temperature
normal
Pressure
normal
Other conditions
normal
Interesting facts about chemistry you may not know
Interesting facts about hydrogen - the lightest element in the periodic table.
Hydrogen is the first element in the periodic system table. Hydrogen is known to be the lightest of all, the most abundant in the Universe, the essential element for life
View moreInteresting facts about helium
Helium is the first rare gas element in the periodic system table. In the Universe, it ranks second in abundance after elemental hydrogen.
View moreInteresting facts about lithium
Lithium is the alkali metal element, located in the third cell in the periodic table system. Lithium is the lightest of all solid metals and can cut a knife.
View moreInteresting Facts About Beryllium
Beryllium is the lightest alkaline earth metal. Beryllium is found in precious stones such as emeralds and aquamarine. Beryllium and its compounds are both carcinogenic.
View moreInteresting Facts About Carbon
Carbon is the non-metallic element in the sixth cell in the periodic system table. Carbon is one of the most important elements in all life, it is also known as the back.
View more